• Предмет: Алгебра
  • Автор: hanumatairova
  • Вопрос задан 10 лет назад

помогите решить пожалуйста это системы два отдельных примера
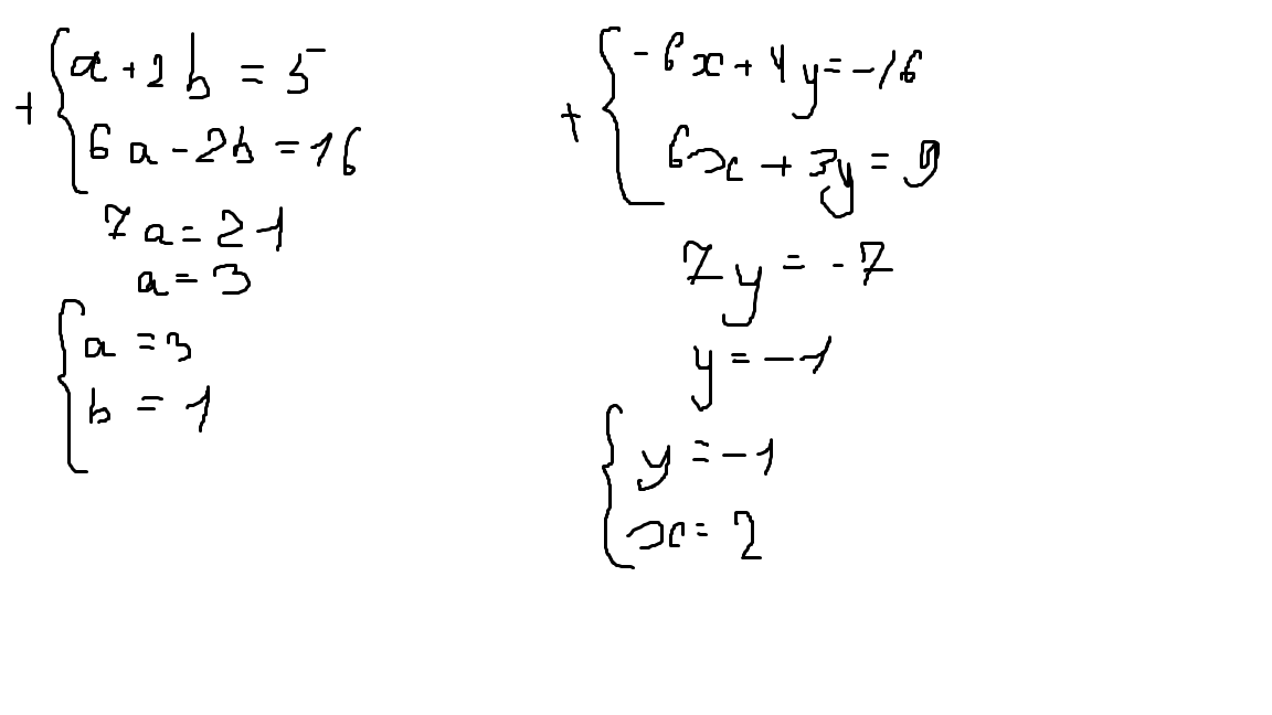
1)a+2b=5
3a-b=8
2)3x-2y=8
6x+3y=9

Ответы

Ответ дал: Ekaterina1819
0
Получится вот так :)
Приложения:
Ответ дал: Нюняя
0
1)a=5-2b            a=5-2b       a=5-2b     a=5-2b    a=3
   3(5-2b)-b=8     15-7b=8      -7b=-7     b=1         b=1

Приложения:
Вас заинтересует