Написать программу, которая по введенным значениям х и у  находит значение K : ​

Приложения:

Ответы

Ответ дал: merkkaa
0

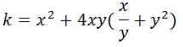
x = int(input("x: "))

y = int(input("y: "))

k = x**2+4*x*y*(x/y+y**2)

print(k)

Приложения:
Вас заинтересует