• Предмет: Алгебра
  • Автор: davidikkim
  • Вопрос задан 3 года назад

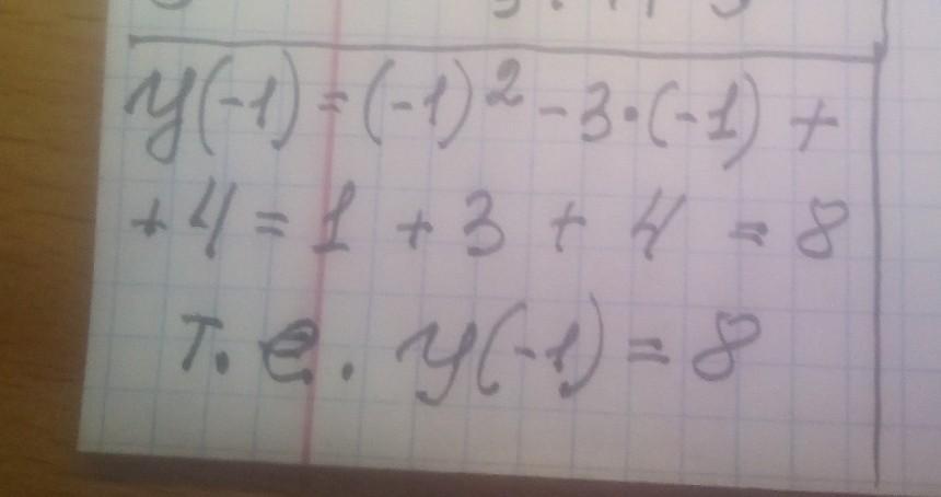
Найди значение функции у = x2 - 3x + 4,
если х = -1.​

Ответы

Ответ дал: manyny06
0

Ответ:

решение на фотографии

Приложения:
Ответ дал: YesTokzhan
0
-1^2-3•(-1)+4=1+3+4=8
Вас заинтересует