Помогите решить, пожалуйста.
Туристы проплыли на лодке от лагеря некоторое расстояние вверх по течению реки, затем причалили к берегу и, погуляв 3 часа, вернулись обратно через 5 часов от начала путешествия. На какое расстояние от лагеря они отплыли, если скорость течения реки равна 2 км/ч, а собственная скорость лодки 8 км/ч?
Ответы
Ответ дал:
0
Пусть расстояние которое проповеди туристы х км.
По условию задачи они остановились на 3 часа, а на весь путь за тратили 5 часов.
Получаем уравнение:
х/10+3+х/6=5
х/10 +х/6=2
6х+10х/60 -2=0
16х-120=0
16х=120
х=120/16
х=7,5
Ответ: они отплыли на расстояние 7,5 км.
По условию задачи они остановились на 3 часа, а на весь путь за тратили 5 часов.
Получаем уравнение:
х/10+3+х/6=5
х/10 +х/6=2
6х+10х/60 -2=0
16х-120=0
16х=120
х=120/16
х=7,5
Ответ: они отплыли на расстояние 7,5 км.
Ответ дал:
0
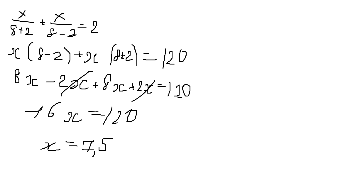
я думаю так, если всего они затратили 5 часов, то не поездку у них всего за тратилось туда обратно 5-3=2 часа. Пусть расстояние будет х, тогда получаем уравнение, смотри на фото.
Приложения:
Вас заинтересует
3 года назад
3 года назад
11 лет назад
11 лет назад
11 лет назад