• Предмет: Алгебра
  • Автор: ramazangabzalilov6
  • Вопрос задан 3 года назад

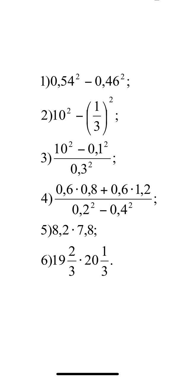
Срочно!!!!надо очень срочно!!!!!!!!!

Приложения:

Аноним: Это вторая степень?

Ответы

Ответ дал: aizhanzhumatai6
1

Ответ:

Думаю понятно)))

Можешь дать лучший ответ?)

Приложения:

Аноним: Вроде как у тебя всë правильно
Вас заинтересует