• Предмет: Математика
  • Автор: kuralay2738
  • Вопрос задан 3 года назад

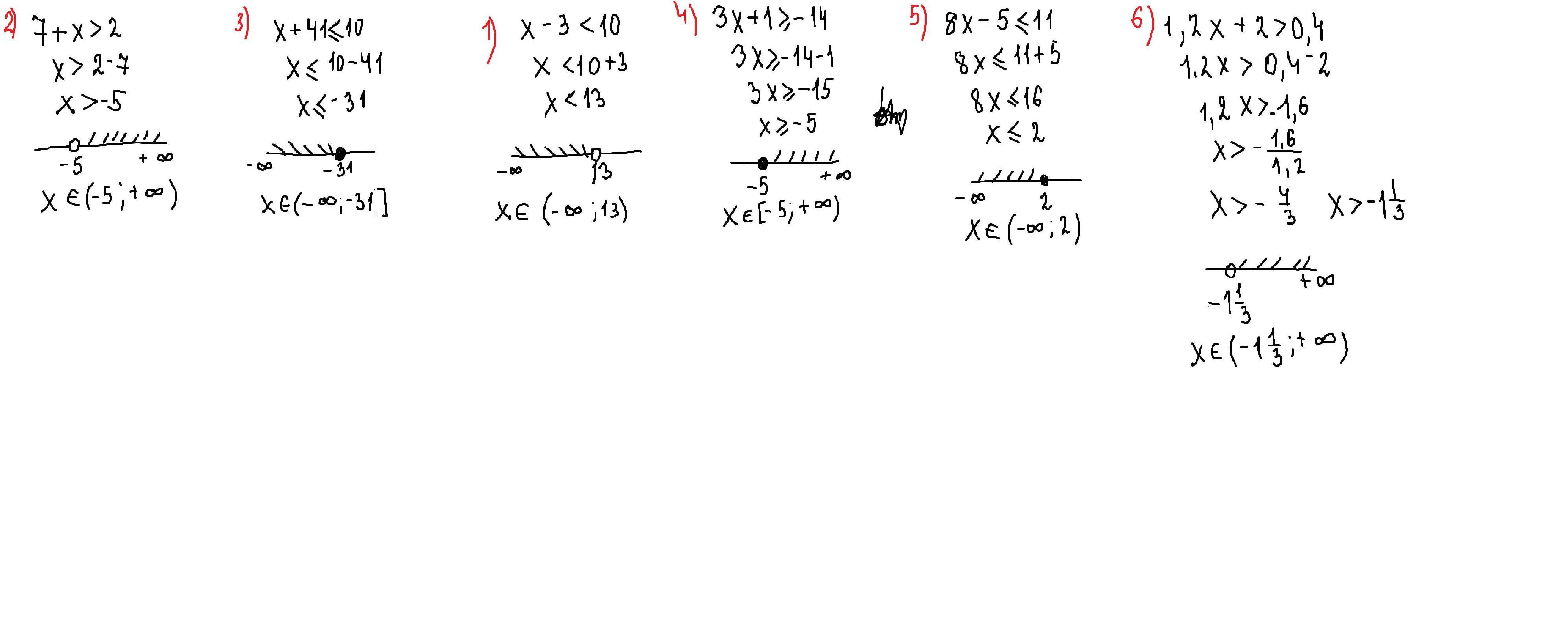
2) 7 + x > 2;
3) x + 41 <10;
989. 1) x – 3 < 10;
4) 3x + 1 > -14;
5) 8x - 5 < 11;
6) 1,2x + 2 > 0,4.​

Приложения:

Ответы

Ответ дал: parus77
57

Ответ:

Пошаговое объяснение:

смотри  внизу

Приложения:

imangalievadanelya: это правильно скажи те пж?
kuralay2738: Да
artembobosko5: спасибо
Аноним: спасибо
Аноним: Пасиба
edzemelikova: правельно?
edzemelikova: ой извините
edzemelikova: Спасибо большое!
edzemelikova: а можете пожалуйста помочь мне?
edzemelikova: мне надо другое сделать
Вас заинтересует