• Предмет: Математика
  • Автор: zlatakoshapova
  • Вопрос задан 3 года назад


1005 (2)
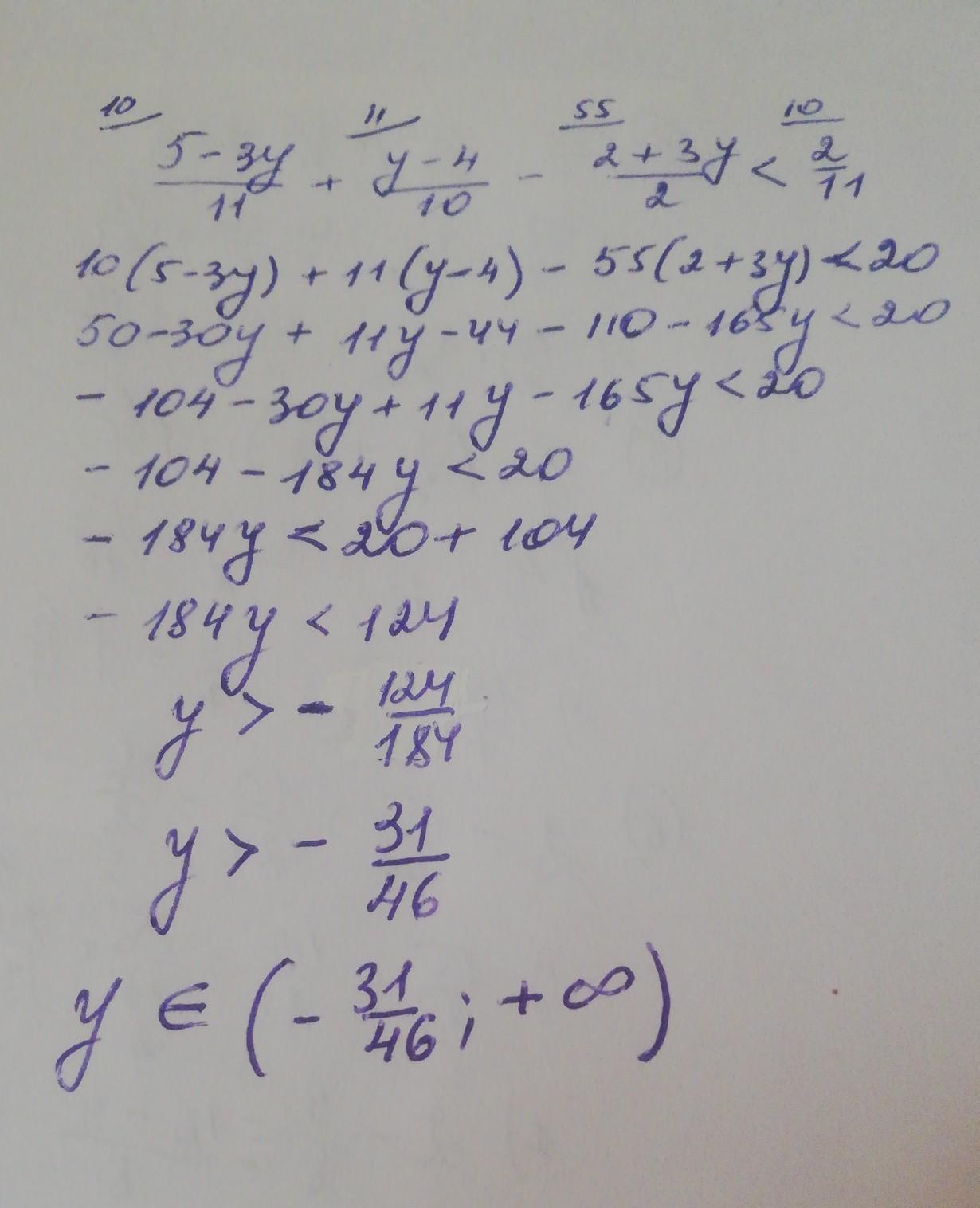
Решите неравенства
фото есть
помогите пж​

Приложения:

Ответы

Ответ дал: serovaksusa1
5

Ответ:

Смотри решение на фото

Приложения:
Вас заинтересует