Ответы
Ответ дал:
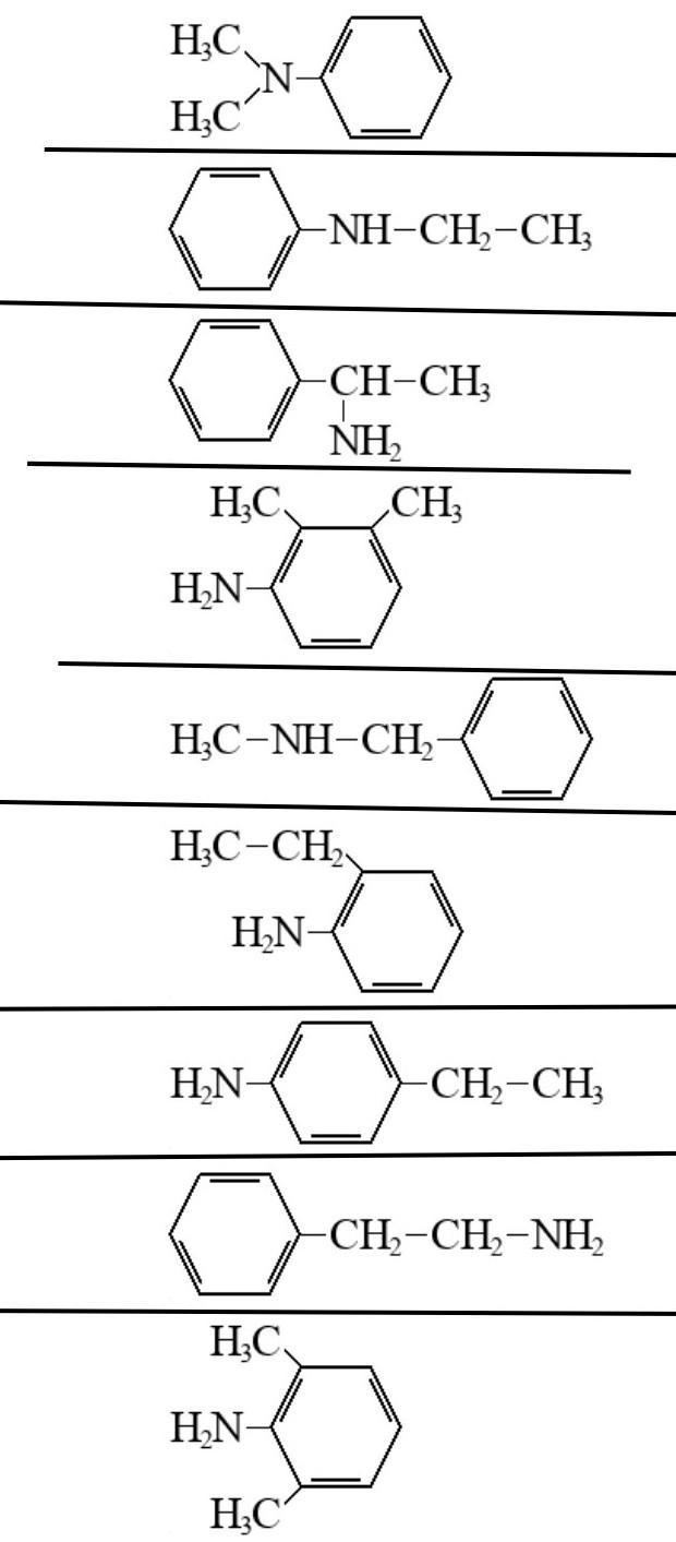
3
Объяснение:
НЕ ЗАБУДЬ ПОЖАЛУЙСТА ПОБЛАГОДАРИТЬ И ОЦЕНИТЬ ЗАРАНЕЕ СПАСИБО
Приложения:



Вас заинтересует
2 года назад
2 года назад
8 лет назад
8 лет назад
9 лет назад