• Предмет: Алгебра
  • Автор: valerartem
  • Вопрос задан 3 года назад

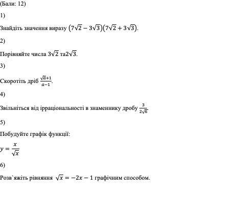
СРОЧНО РАСПИШИТЕ ВСЕ ОЧЕНЬ ХОРОШО. И ПРАВИЛЬНО ДАЮ 79 БАЛЛОВ

Приложения:

Ответы

Ответ дал: marisha99p72stx
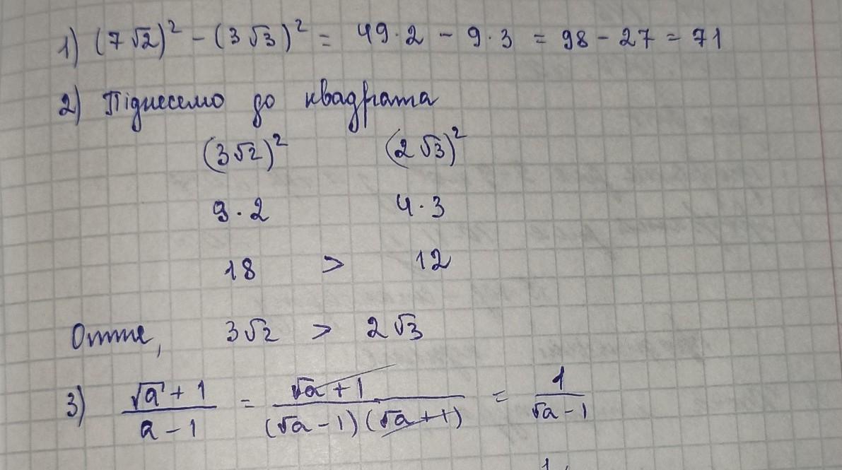
1

Ответ:

1)71

2) 3√2>2√3

3)1/(√а-1)

4)√6/4

Приложения:
Вас заинтересует