ЛЮДИИИИИ !!! НУНА ПОМОЩЬ... это определенный интеграл... ∫ сверху2 внизах0 (3x^2-2x+4)dx помогите с подробным решением
Ответы
Ответ дал:
0
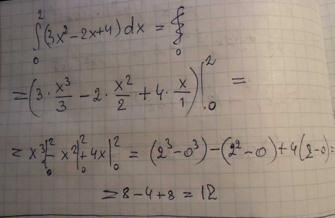
берем по-очереди первообразную от каждого слагаемого
потом подставляем вместо Х верхний предел, отнимаем нижний
и оля готово!
потом подставляем вместо Х верхний предел, отнимаем нижний
и оля готово!
Приложения:
Вас заинтересует
3 года назад
3 года назад
8 лет назад
8 лет назад
11 лет назад
11 лет назад
11 лет назад