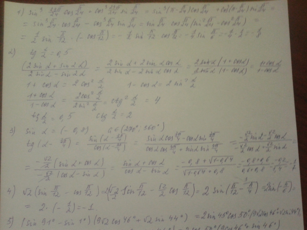
1. sin^3(23pi/24)cos(pi/24) + cos^3(23pi/24)sin(pi/24) (упростить).
2. Если tg(a/2)=0.5 , то (2sina+sin2a)/(2sina-sin2a) равно ?
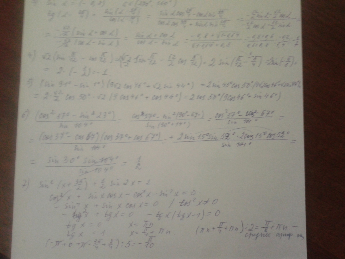
3. Если sina=(-0.8) и a принадлежит промежутку (270º;360º), то значение tg(a-(3pi/4)) равно?
Ответы
Ответ дал:
0
............................................................................
Приложения:



Вас заинтересует
2 года назад
8 лет назад
8 лет назад
10 лет назад
10 лет назад
10 лет назад