Ответы
Ответ дал:
1
Ответ:
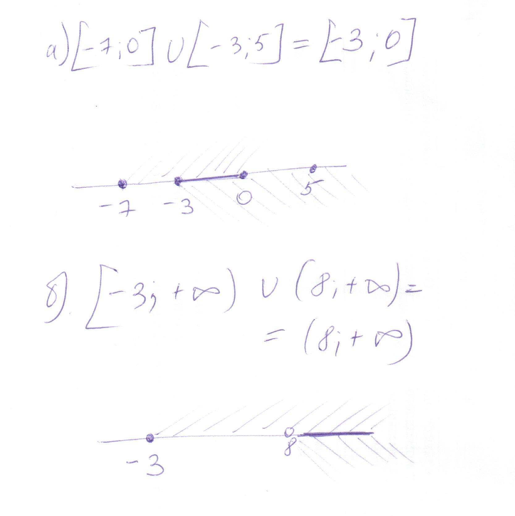
на фото
Пошаговое объяснение:
Приложения:

povvgolv:
спасибо
Вас заинтересует
2 года назад
2 года назад
2 года назад
2 года назад
8 лет назад
8 лет назад
9 лет назад