• Предмет: Математика
  • Автор: valeriya2032
  • Вопрос задан 11 лет назад

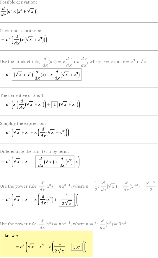
наити производную функцию у=е^2х*(х^3+√х)

Ответы

Ответ дал: Calculus
0

(8x^3+3sqrt(x))*e^(2x(x^3+sqrt(x))). :)
Ответ дал: Щюба
0
вот,  ответ в самом конце
Приложения:
Вас заинтересует