• Предмет: Физика
  • Автор: aldar50
  • Вопрос задан 3 года назад

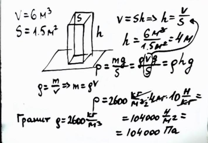
колонна объёмом 6 кубических метров площадь основания 1,5 м квадратных оказывает давление 104 кПа Найдите площадь вещества из которого сделана колонна​

Ответы

Ответ дал: Аноним
6

P=F/S =mg/S

mg=P*S=10.4*1,5=15,6 Н

(Вес измеряется в Ньютонах и не равен массе)

Ответ:15,6 Н

Подробное обьяснение во вложении ...

Приложения:

Аноним: Сделай лучшим ответом Пж , Стремлюсь к Званию "Умный"
Аноним: Спасибо Большое ❤
Вас заинтересует