• Предмет: Алгебра
  • Автор: dimas8685
  • Вопрос задан 3 года назад

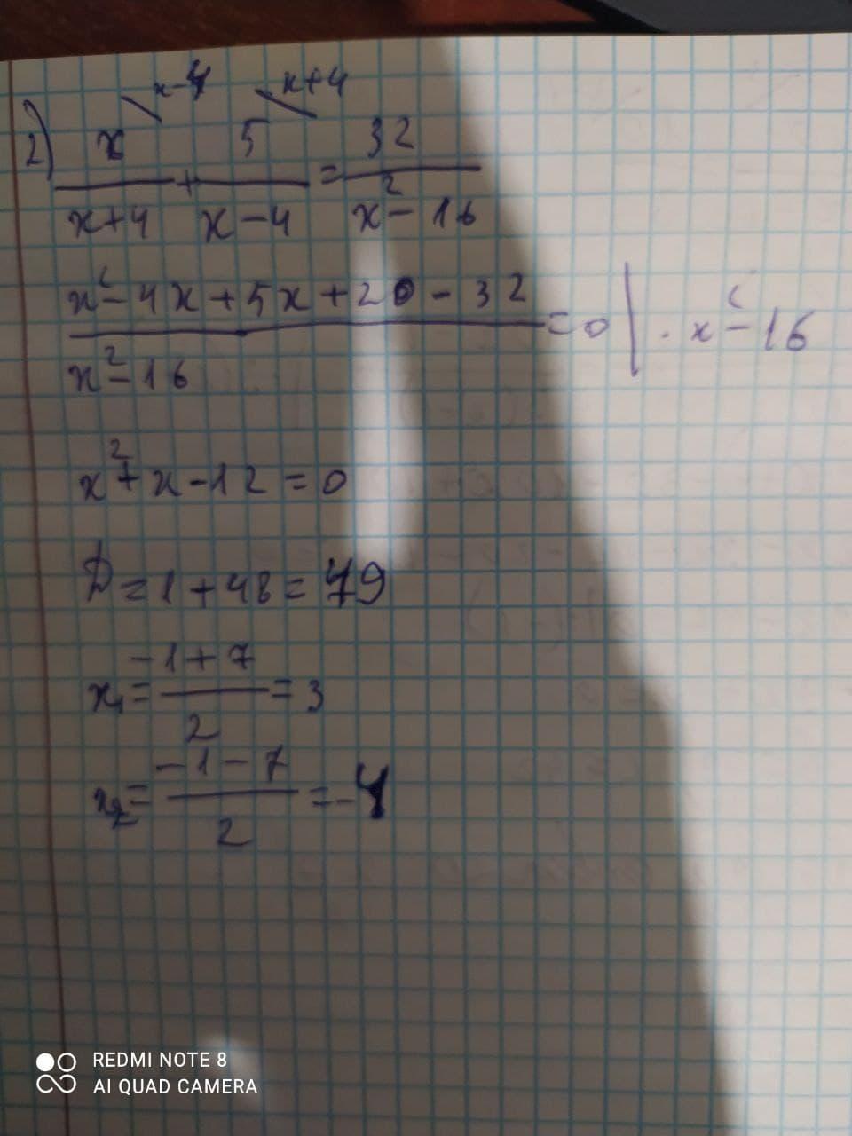
домашнее задание по теме "Решение уравнений, сводящихся к квадратным"
помогите пожалуйста​

Приложения:

MiRaZiZz7: через две минуты скину остоольные ответы по порядку
MiRaZiZz7: !!!
MiRaZiZz7: И как все ли фото загрузились ?
MiRaZiZz7: Всего вам хорошего Dimas8685 !!!!!
dimas8685: ладно спасибо
dimas8685: да загрузились

Ответы

Ответ дал: MiRaZiZz7
1

Ответ:

Ответ в виде фото!

по порядку!

Объяснение:

Приложения:
Вас заинтересует