• Предмет: Математика
  • Автор: agnessas
  • Вопрос задан 3 года назад

Пожалуйста помогите нужно сдать в среду

Приложения:

Ответы

Ответ дал: mioks
1

Ответ:

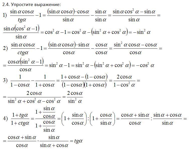
на фото

Пошаговое объяснение:

Приложения:
Вас заинтересует