• Предмет: Математика
  • Автор: nazamukambetov
  • Вопрос задан 3 года назад

SOS! HELP! Помогите пожалуйста с решением!!! 100 баллов!

Приложения:

pushpull: сделала. только вот фото у меня плохо получаются, а внук пока занят. я вам перекину то, что у меня получилось. если не подойдет, переделаем. баллы мне не нужны - за это не беспокойтесь. я здесь исключительно для души...
nazamukambetov: Спасибо большое таким людям как вы! Крепкого здоровья вам и долгих лет!
nazamukambetov: Вы сюда отправите или куда?
pushpull: сюда не могу. тут еще пока не удалили спамеров.
pushpull: куда еще можно отправить? вайбер есть? ВК ?
nazamukambetov: Вы можете отправить на этот сайт
nazamukambetov: https://znanija.com/task/42476756
pushpull: ну, я туда отправила. так там же другие интегралы....
pushpull: ой, там, по-моему вовсе не читаемо..... (((((
pushpull: может лучше просто написать в редакторе?

Ответы

Ответ дал: Miroslava227
3

Ответ:

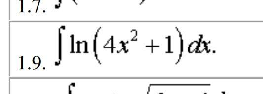
1.9

\int\limits ln(4 {x}^{2} + 1 ) dx \\

по частям:

u =  ln(4 {x}^{2}  + 1)  \:  \:  \:  \:  \:  \:  \: du =  \frac{1}{4 {x}^{2} + 1 }  \times 8xdx \\ dv = dx \:  \:  \:  \:  \:  \:  \:  \:  \:  \:  \:  \:  \:  \:  \: v = x

uv - \int\limits \: vdu =  \\  = x ln(4 {x}^{2}  + 1)   - \int\limits \frac{8 {x}^{2} dx}{4 {x}^{2} + 1 }  =  \\  = x ln(4 {x}^{2}  + 1)  - 2\int\limits \frac{4 {x}^{2} dx}{4 {x}^{2}  + 1}   =  \\  = x ln(4 {x}^{2} + 1 )  - 2\int\limits \frac{4 {x}^{2} + 1 - 1 }{4 {x}^{2}  + 1} dx =  \\  = x ln(4 {x}^{2}  + 1)  - 2(\int\limits \: dx -\int\limits \frac{dx}{ {(2x)}^{2} +  {1}^{2}  }   =  \\  = x ln(4 {x}^{2}  + 1)  - 2x + \int\limits\frac{d(2x)}{ {(2x)}^{2}  + 1} =  \\  = x ln(4 {x}^{2}  + 1)  - 2x + arctg(2x) + C

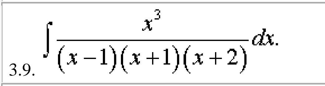
3.9

\int\limits \frac{ {x}^{3} }{(x - 1)(x + 2)(x + 1)} dx = \int\limits  \frac{ {x}^{3}dx }{( {x}^{2} - 1)(x + 2) }  =  \\  = \int\limits \frac{ {x}^{3} }{ {x}^{3}  - x + 2 {x}^{2}  - 2} dx

разделим числитель на знаменатель:

 \frac{ {x}^{3} }{(x - 1)(x + 1)(x + 2)}  = 1 -  \frac{2 {x}^{2} - x - 2 }{(x - 1)(x + 1)(x + 2)}  \\

Получаем 2 интеграла:

\int\limits \: dx - \int\limits \frac{2 {x}^{2} - x - 2 }{(x - 1)(x + 1)(x + 2)} dx \\

Первый интеграл

\int\limits \: dx = x + C\\

Второй интеграл раскладываем на простейшие дроби:

 \frac{2 {x}^{2} - x - 2 }{(x - 1)(x + 1)(x + 2)}  =  \frac{A}{x - 1}  +  \frac{B}{x + 1}  +  \frac{C}{x + 2}  \\ 2 {x}^{2}  - x - 2 = A(x + 1)(x + 2) + B(x - 1)(x + 2) + C(x - 1)(x + 1) \\ 2 {x}^{2}  - x - 2 = A( {x}^{2}  + x + 2x + 2) + B( {x}^{2}  - x + 2x - 2) + C( {x}^{2}  - 1) \\ 2 {x}^{2}  - x - 2 = A {x}^{2}  + 3Ax + 2A +  B{x}^{2}  + Bx - 2B + C {x}^{2}  - C\\  \\ 2 = A + B+ C \\  - 1 = 3A+ B \\  -  2 = 2A- 2B - C\\  \\ B=  - 1 - 3A  \\  - 1 - 3A+ A + C = 2 \\ 2A + 2 + 6A - C =  - 2 \\  \\ B =  - 3 A- 1 \\ C= 3 + 2A \\ 8A - 3 - 2A=  - 4 \\  \\ 6A =  - 1 \\ A =  -  \frac{1}{6}  \\  \\ C= 3 -  \frac{1}{3}  =  \frac{8}{ 3}  \\ B =  - 1 +  \frac{1}{2}  =  -  \frac{1}{2}

Получаем:

\int\limits \frac{ -  \frac{1}{6}dx }{x - 1}  + \int\limits \frac{( -  \frac{1}{2}) }{x + 1} dx + \int\limits \frac{ \frac{8}{3} }{x + 2} dx =  \\  =  -  \frac{1}{6} \int\limits \frac{d(x - 1)}{x - 1}  -  \frac{1}{2} \int\limits \frac{d(x + 1)}{x + 1}  +  \frac{8}{3} \int\limits \frac{d(x + 2)}{x + 2}  =  \\  =  -  \frac{1}{6}  ln(x - 1)  -  \frac{1}{2}  ln(x + 1)  +  \frac{8}{3}  ln(x + 2)  + C

Объединяем:

 = x -  \frac{1}{6}  ln(x - 1)  -  \frac{1}{2}  ln(x + 1)  +  \frac{8}{3}  ln(x + 2)  + C \\

2.9

\int\limits \frac{arctgx + x}{ 1+  {x}^{2} } dx = \int\limits \frac{arctgx}{1 +  {x}^{2} } dx +\int\limits \frac{x}{1 +  {x}^{2} } dx =  \\  = \int\limits \: arctgx \times d(arctgx) +  \frac{1}{2}\int\limits \frac{2x}{1 +  {x}^{2} } dx =  \\  =  \frac{ {arctg}^{2}x }{2}  +  \frac{1}{2} \int\limits \frac{d(1 +  {x}^{2}) }{1 +  {x}^{2} }  =  \\  =  \frac{ {arctg}^{2} x}{2}  +  ln( {x}^{2}  + 1)  + C

Вас заинтересует