• Предмет: Математика
  • Автор: dimanelipovecz
  • Вопрос задан 3 года назад

Знайти похідну неявно заданої функції.


Найти производную неявно заданной функции.

Приложения:

Ответы

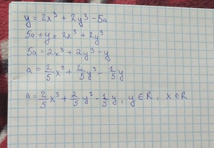
Ответ дал: andrejcenkoliza43
1

ответ: a= 2/5x^3+2/5y^3-1/5y;

yє R; y є R;

Приложения:

dimanelipovecz: Спасибо)
Вас заинтересует