• Предмет: Химия
  • Автор: aruzhan0828
  • Вопрос задан 3 года назад

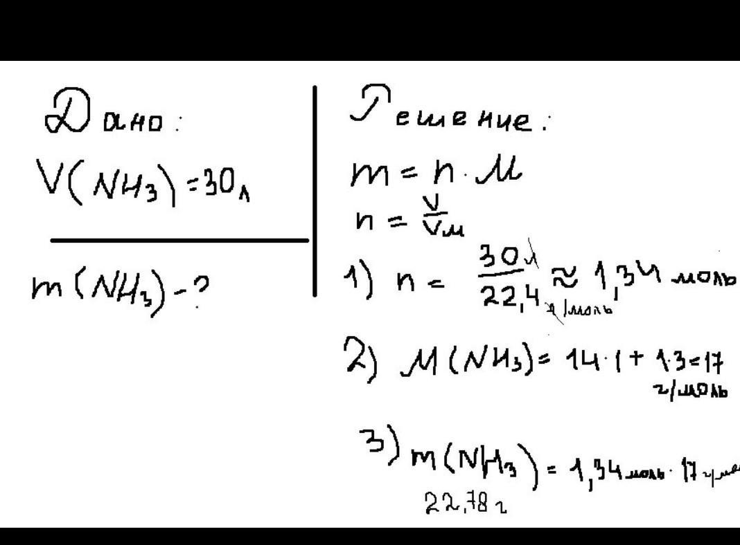
какова масса 30 л аммиака при нормальных условиях?

Ответы

Ответ дал: red3850
1

Ответ:

22, 78 г.

Объяснение:

на фото написано все

Приложения:
Вас заинтересует