написать программы в Python пожалуйста
Приложения:

arina11111173:
помогите пожалуйста
Ответы
Ответ дал:
1
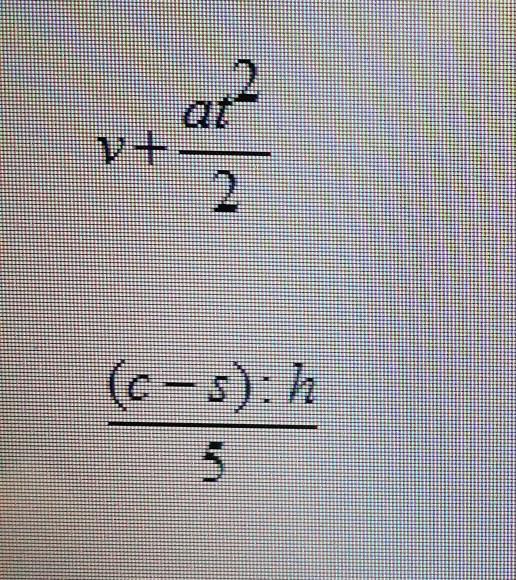
Ответ:
v+(a*(t**2)/2)
((c-s)/h)/5
Вас заинтересует
2 года назад
2 года назад
8 лет назад
8 лет назад
9 лет назад
9 лет назад