• Предмет: Алгебра
  • Автор: siro09
  • Вопрос задан 3 года назад

Я слишком не умная для такого.....

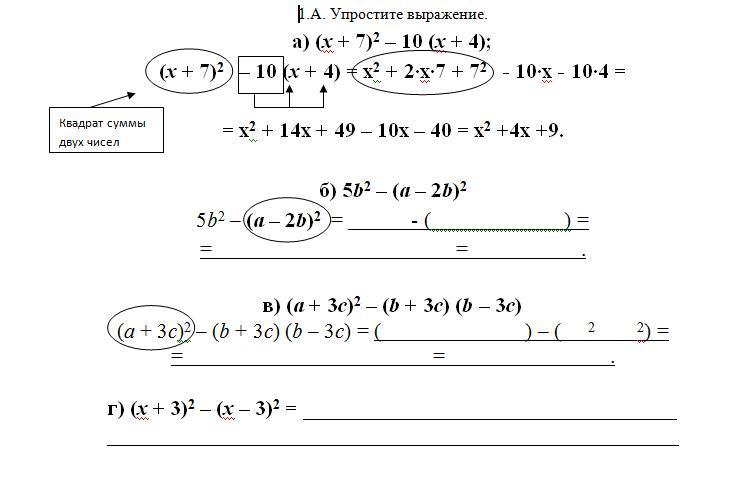
Приложения:

NNNLLL54: а, может, просто ленивая ?
siro09: может быть.... Но до меня серьёзно не доходит(
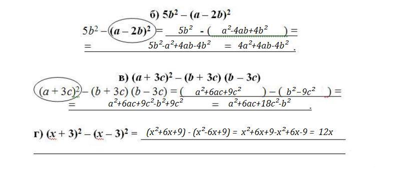
siro09: РЕШИТЕ ТОЛЬКО Б И ВСЁ, пожалуйста

Ответы

Ответ дал: NNNLLL54
2

...................................................................................................................................

Приложения:

siroksi224: спасибо, добрый человек ✊
Вас заинтересует