Решить примеры, где не видно там стоит алгоритм, решить полностью примеры, не только ответ пожалуйста, вместо n, ставим число 10
Приложения:

Ответы
Ответ дал:
1
Ответ:
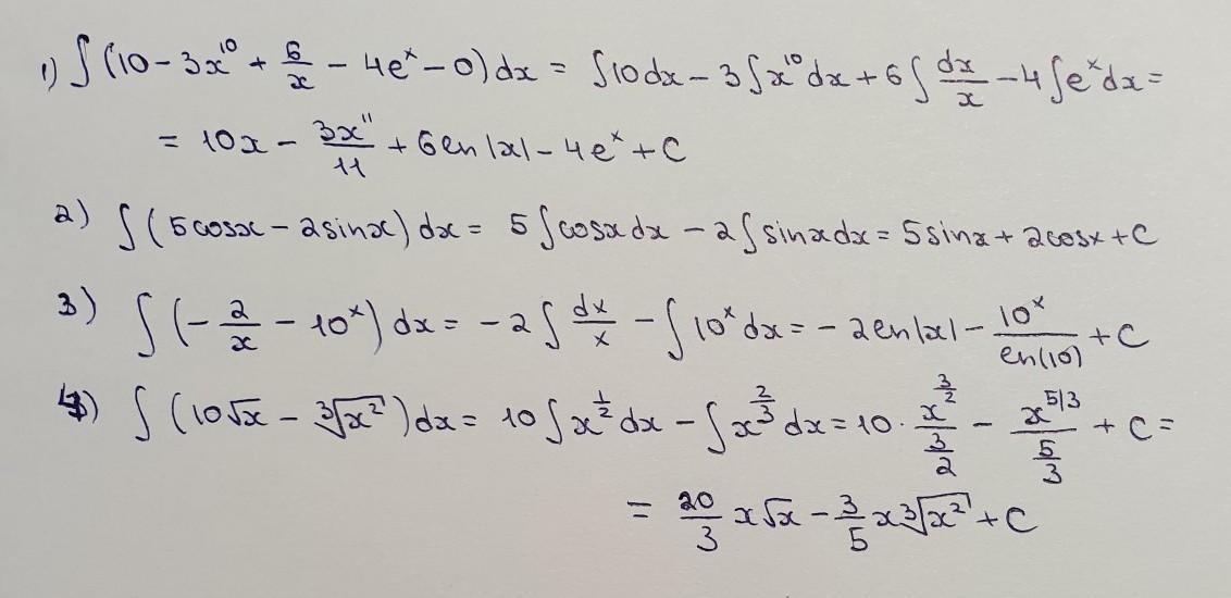
решение на фотографии.
Приложения:

Аноним:
Я не понимаю от куда эти цифры, там нет такого вообще
Вас заинтересует
2 года назад
2 года назад
2 года назад
2 года назад
8 лет назад
9 лет назад
9 лет назад