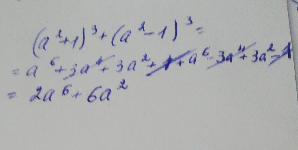
Преобразуйте выражение в многочлен стандартного вида: (a²+1)³+(a²-1)³.
1)2a⁶+6a²
2)6a⁶+2a²
3)6a⁶-2a²
4)2a⁶-6a²
Ответы
Ответ дал:
1
Ответ:
1
Смотри решение на фото
Приложения:

Вас заинтересует
2 года назад
2 года назад
2 года назад
8 лет назад
8 лет назад