• Предмет: Алгебра
  • Автор: farkhodtakhminka
  • Вопрос задан 3 года назад

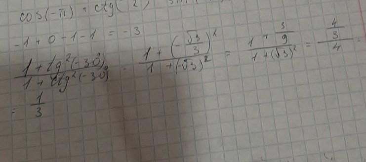
Вычислите 1+tg²(-30°)/1+ctg²(-30°)​

Ответы

Ответ дал: luizkaksk
3

Ответ:

вышееееееееееееееееее

Приложения:
Вас заинтересует