• Предмет: Алгебра
  • Автор: cyvuvtzubicygig
  • Вопрос задан 3 года назад

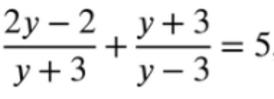
СРОЧНО, ПОЖАЛУЙСТА!!!!
Решить и найти корни с помощью дискриминанта.​

Приложения:

Аноним: я могу помоч

Ответы

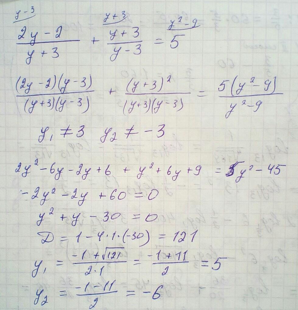
Ответ дал: ivankorobejnikov74
1

Ответ:

..................................

Приложения:
Вас заинтересует