• Предмет: Математика
  • Автор: supermadiev
  • Вопрос задан 3 года назад

Системы линейных неравенств с одной переменной. Решение системы линейных неравенств с одной переменной. Урок 2
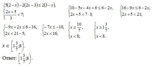
Напиши решение системы неравенств.
Ответ:

Приложения:

pro4934: 5задание нужно!
pro4934: тебе
pro4934: 1 3/7 8
pro4934: 6задание :1234
pro4934: 1,2,3,4
pro4934: эхÓ╭╮Ò
leharyzhkov09: 7хэлп плиз ребят
Аноним: бро 7задание. 15
2846afina: а 8 и 9 не знаете?
UchenikAklassa: спасибо ответ 1 3\7; 8 правильный

Ответы

Ответ дал: Санечка69
2

См. решение на рисунке

Приложения:
Вас заинтересует