запишите на языке программирования ​

Приложения:

danilmahlunovvrus: на каком языке?

Ответы

Ответ дал: KalitaGeorgy
0

Ответ:

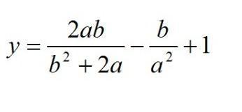
y = (2 * a * b) / (b ** 2 + 2 * b) - b / (a ** 2) + 1

Объяснение:

Вас заинтересует