• Предмет: Алгебра
  • Автор: netuuuu9
  • Вопрос задан 3 года назад

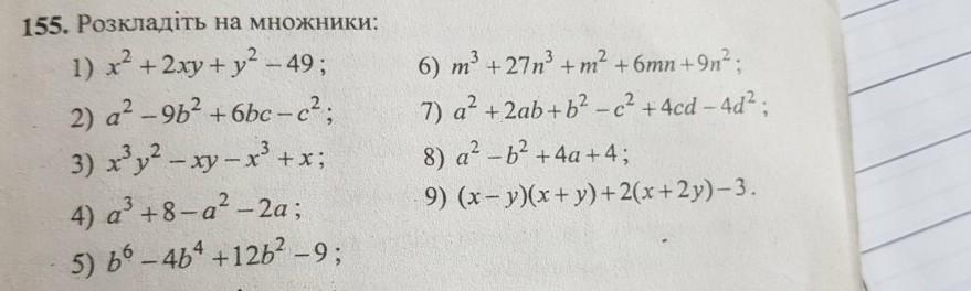
Помогите пожалуйста дам 15 балов!!! Решите 1);3);6);8)​

Приложения:

Ответы

Ответ дал: Аноним
2

1) (х+у)²- 49

3) х•(у-1)(х²у+х²-1)

6) ( m +3n) (m²- 3mn+ 9n²+m + 3n)

8) (a+2-b) (a+2+b)

Вас заинтересует