• Предмет: Математика
  • Автор: Qweryfizik1
  • Вопрос задан 3 года назад

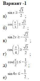
Пожалуйста,решите тригонометрические неравенства(с рисунками)

Приложения:

Ответы

Ответ дал: Miroslava227
3

Ответ:

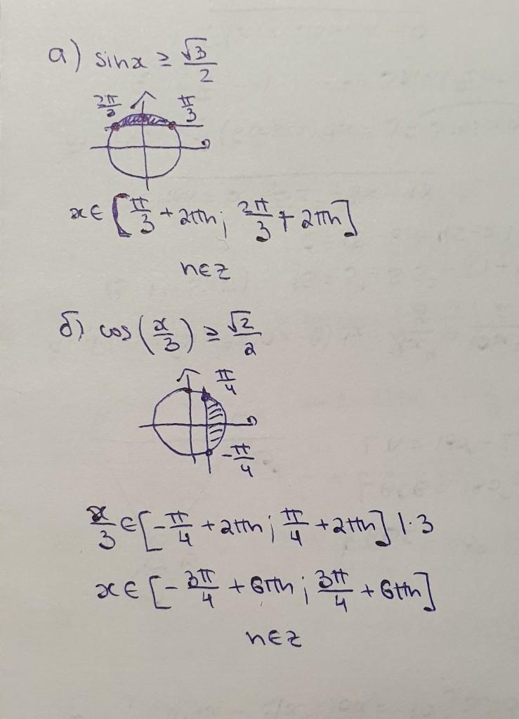
решение на фотографиях

Приложения:

Qweryfizik1: Спасибо!
Вас заинтересует