• Предмет: Алгебра
  • Автор: aaalexanaaa
  • Вопрос задан 3 года назад

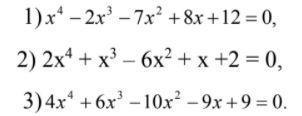
Помогите решить уравнения полностью

Приложения:

Ответы

Ответ дал: KenshiKimura
0

Ответ:

Прости пожалуйста что нет времени решать есть программа скачай ее с браузера Photo Math она тебе поможит решать такие примеры или даже еще намного сложнее))

Вас заинтересует