• Предмет: Геометрия
  • Автор: arishabette
  • Вопрос задан 3 года назад

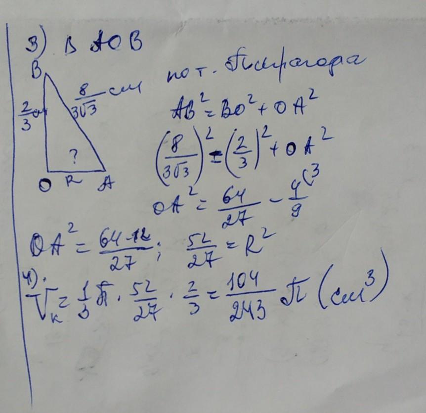
Через образующие конуса, угол между которыми 60", проведена плоскость, составляющая с основанием угол 30°. Найдите объем конуса, если его высота равна 2/3 см.​

Ответы

Ответ дал: kirichekov
4

Объяснение:

решение во вложении (три фото)

Приложения:
Вас заинтересует