• Предмет: Алгебра
  • Автор: evtyshenkokatia
  • Вопрос задан 3 года назад

розв'яжіть рівняння: х⁴-х²=0​

Ответы

Ответ дал: Timur527
0

Ответ:x²(x²-1)=0

x1=0

x²-1=0

x²=1

x=±1

Объяснение:

Ответ дал: NeNs07
6

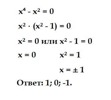
Ответ:

1;  0;  -1.

Объяснение:

Разложим левую часть уравнения на множители.

{x}^{2} \cdot {x}^{2} - {x}^{2} \cdot 1 = 0

Видим общий множитель {x}^{2}, поэтому выносим его за скобку.

{x}^{2} \cdot ( {x}^{2} - 1 ) = 0

Произведение равно нулю только тогда, когда хотя бы один из множителей равен нулю.

{x}^{2} = 0  или  {x}^{2} - 1 = 0

x = 0 \:\:\:\:\:\:\:\:\:\:\:\:\:\:\: {x}^{2}=1            

                     x = \pm 1

В прикреплённом вложении ниже представлено это уравнение так, как требует того школьная программа.

Приложения:
Вас заинтересует