• Предмет: Математика
  • Автор: zejnepretbaeva2
  • Вопрос задан 3 года назад

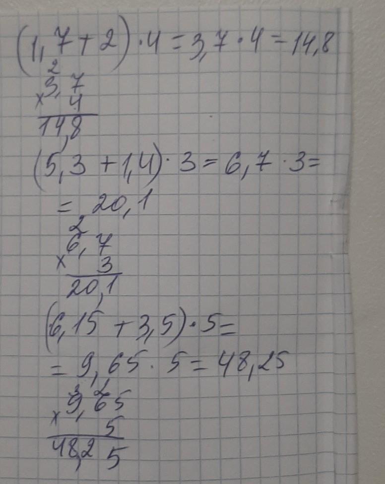
7) (1,7+2) • 4;
8) (5,3+1,4). 3
9) (6,15+3,5).5.​


buganikita: Суету навести охота.
buganikita: 7)(1.7+2)*4=3.4*2=6.8
buganikita: 8)(5.3+1.4)*3=6.7*3=20.1
buganikita: (6.15+3.5)*5=9.65*5=48.25

Ответы

Ответ дал: irina555556
1

Ответ:

решения и ответы на фото

Приложения:
Ответ дал: Haipgg
2

Ответ:17,2 ×4=12,8 5,3+1,4=6,7 5,3+1,4×3=20,1 6,15+3,5=9,65 6,15+3,5×5

Пошаговое объяснение:

Вас заинтересует