• Предмет: Математика
  • Автор: kalash1987181
  • Вопрос задан 3 года назад

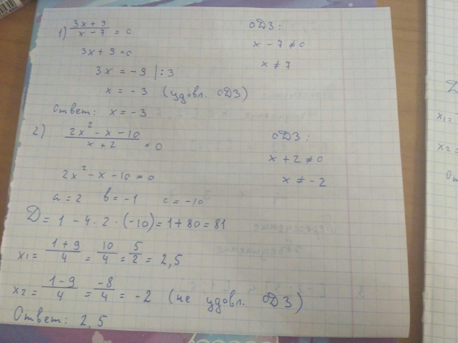
помогите с дробно-рациональными уравнениями
во втором уравнение=0
в пятом =1
не вместилось

Приложения:

Ответы

Ответ дал: Аноним
0

Ответ:

Решение на фото

Пошаговое объяснение:

Приложения:

Аноним: Забыл дописать, но Вы допишите, что в ответах не только число, а x = 2,5; x1 = - 15 x2 = - 5
Вас заинтересует