Ответы
Ответ дал:
0
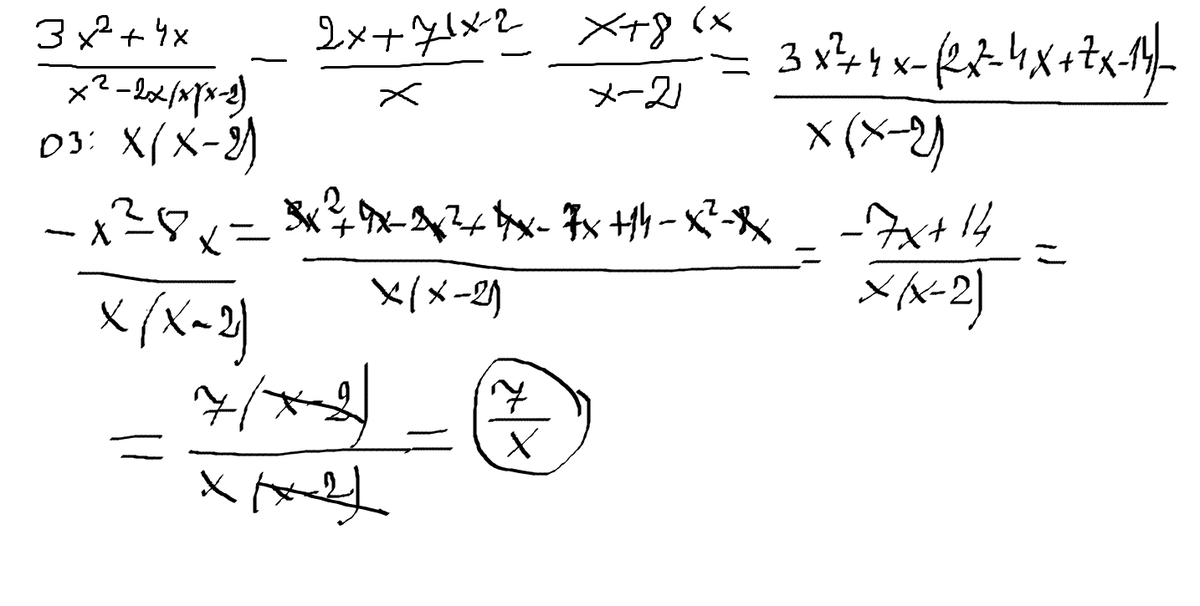
Решение во вложении.
Приложения:

Ответ дал:
0
Будет МИНУС 7/Х, потому что чтобы сократить дробь, надо знаки поменять
Приложения:

Вас заинтересует
2 года назад
2 года назад
8 лет назад
10 лет назад
10 лет назад
10 лет назад