• Предмет: Алгебра
  • Автор: tet9nakovalska
  • Вопрос задан 3 года назад

Пожалуста помогите до 09.02.2021
дуже нада 20 балів дам ))))))))))

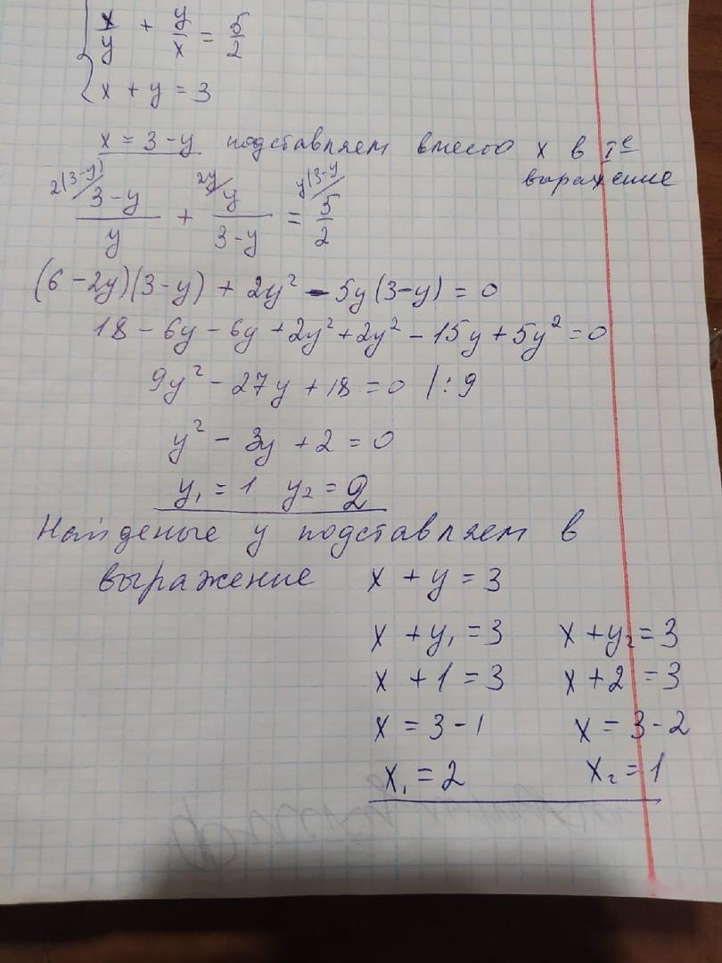
Приложения:

tet9nakovalska: розгорнуту відповідь

Ответы

Ответ дал: elilian
1

Ответ:

x=2, y=1 i x=1, y=2

Объяснение:

ещё нужно? или уже поздно?

вторую систему плохо видно :(

Приложения:

tet9nakovalska: пожалуста розгорнуту відповідь
tet9nakovalska: будьласка
Вас заинтересует