• Предмет: Алгебра
  • Автор: Аноним
  • Вопрос задан 3 года назад

Не виконуючи побудови, знайдіть координати точок перетину з осями координат графіка функції y=1,5x-60.

ТЕРМІНОВО! ДАЮ 30 БАЛІВ!​

Ответы

Ответ дал: KardelSharpbrain
10

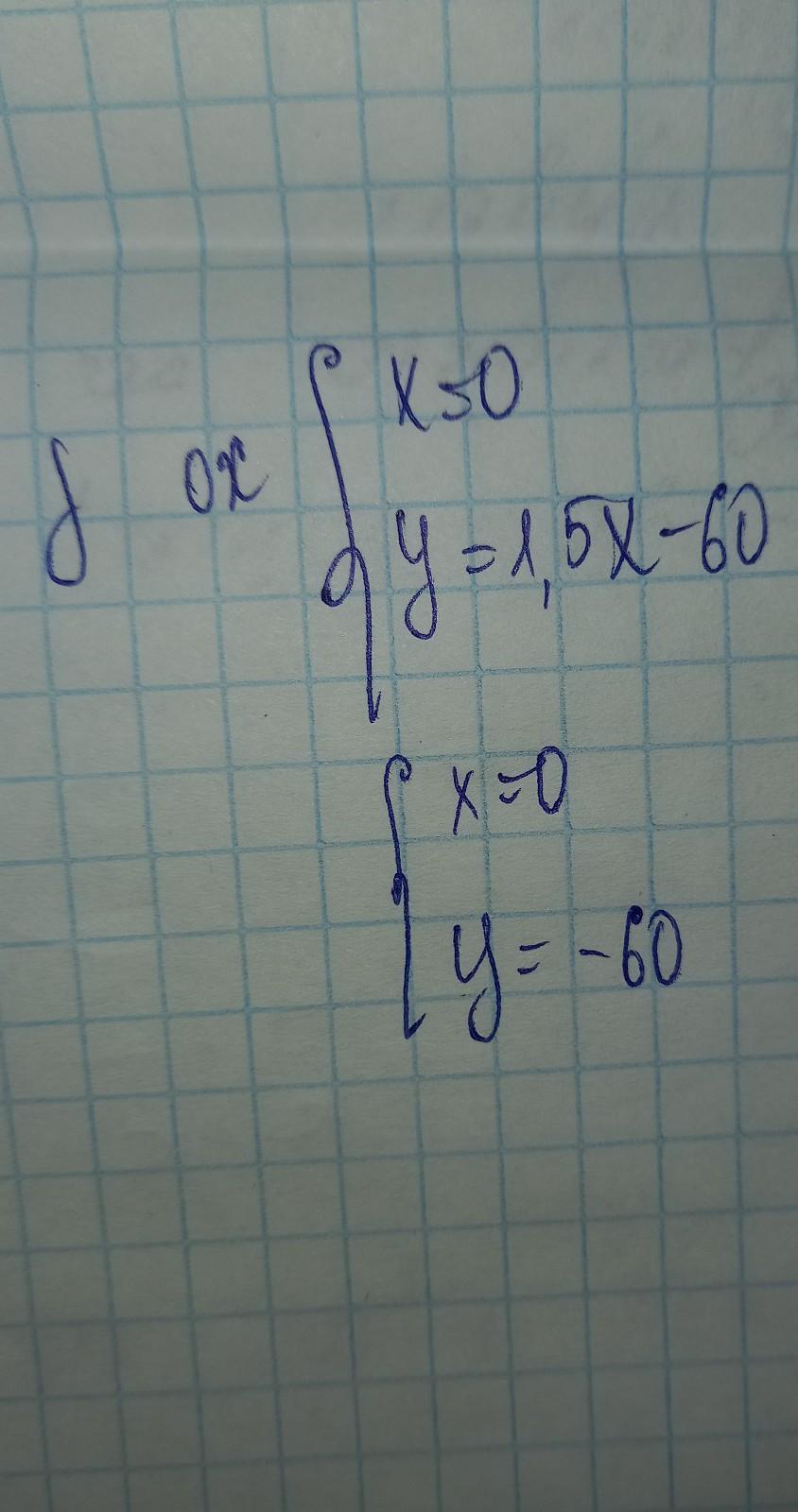
1) х = 0

у = 0 - 60 = -60

2) у = 0

1,5х - 60 = 0

1,5х = 60

х = 40

Ответ: (40; -60)


Аноним: Дякую
KardelSharpbrain: рады дапамагчы
Ответ дал: ksenialucenko095
1

Ответ:

не знаю правильно или нет ((((

Приложения:

KardelSharpbrain: почти, только там сказано координаты точки, то есть, должен быть х и у
ksenialucenko095: я только з ох написала
KardelSharpbrain: еще оу нужен
Вас заинтересует