Ответы
                                            Ответ дал: 
                                                                                    
                                        
                                            
                                                
                                                
                                                
                                                    1
                                                
                                            
                                        
                                    Ответ:
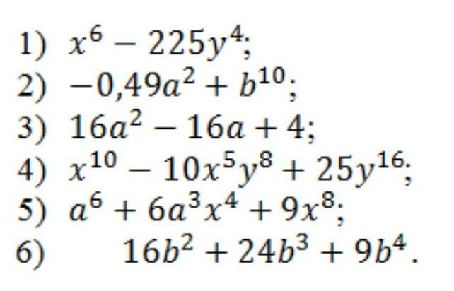
1. раскладываем по формуле на скобки
(х³-15у²)•(х³+15у²)
2. также по формуле
(b⁵-0,7a)•(b⁵+0,7a)
3. выносим за скобки общий множитель 4
4(4а²-4а+1)
раскладываем по формуле
4(2а-1)²
4. разложить на множители
(х⁵)²-2•х⁵•5у⁸+(5у⁸)²
по формуле
(х⁵-5у⁸)²
5. также раскладываем на множители
(а³)²-2•а³•3х⁴+(3х⁴)²
по формуле разложить на множители
(а³-3х⁴)²
6. выносим общий множитель b² за скобки
b²(16+24b+9b²)
по формуле
b²(4+3b)²
                    sndrr838373838:
                    Спасибо❤
                
            Вас заинтересует
                
                        2 года назад
                    
                
                        2 года назад
                    
                
                        2 года назад
                    
                
                        8 лет назад
                    
                
                        9 лет назад