• Предмет: Математика
  • Автор: Аноним
  • Вопрос задан 3 года назад

срочно!помогите пожалуйста!!​

Приложения:

Ответы

Ответ дал: ismars
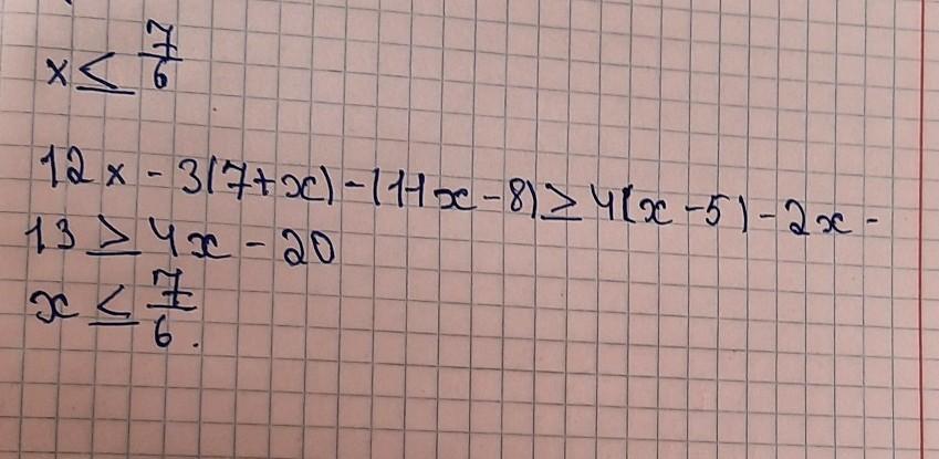
1

Ответ:

x\leq \frac{7}{6}

Пошаговое объяснение:

12x-3(7+x)-(11x-8)\geq 4(x-5)

-2x-13\geq 4x-20

x\leq \frac{7}{6}

Ответ дал: togzansynbajkyzy
1

Ответ:

если правильно подпишись и поставь спасибо пжжжжжжж

Пошаговое объяснение:

вот здесь на фото ответ

Приложения:
Вас заинтересует