• Предмет: Математика
  • Автор: nekitsuzev
  • Вопрос задан 3 года назад

помагите решить побыстрее​

Приложения:

Ответы

Ответ дал: king0548
0

Ответ:

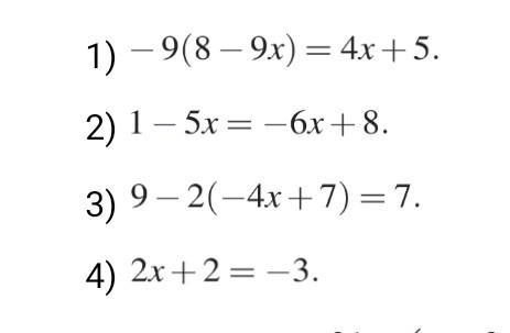
2) 1-5х+6х=8

-5х+6х=8-1

х=8-1

х=7


nekitsuzev: а можно все
Вас заинтересует