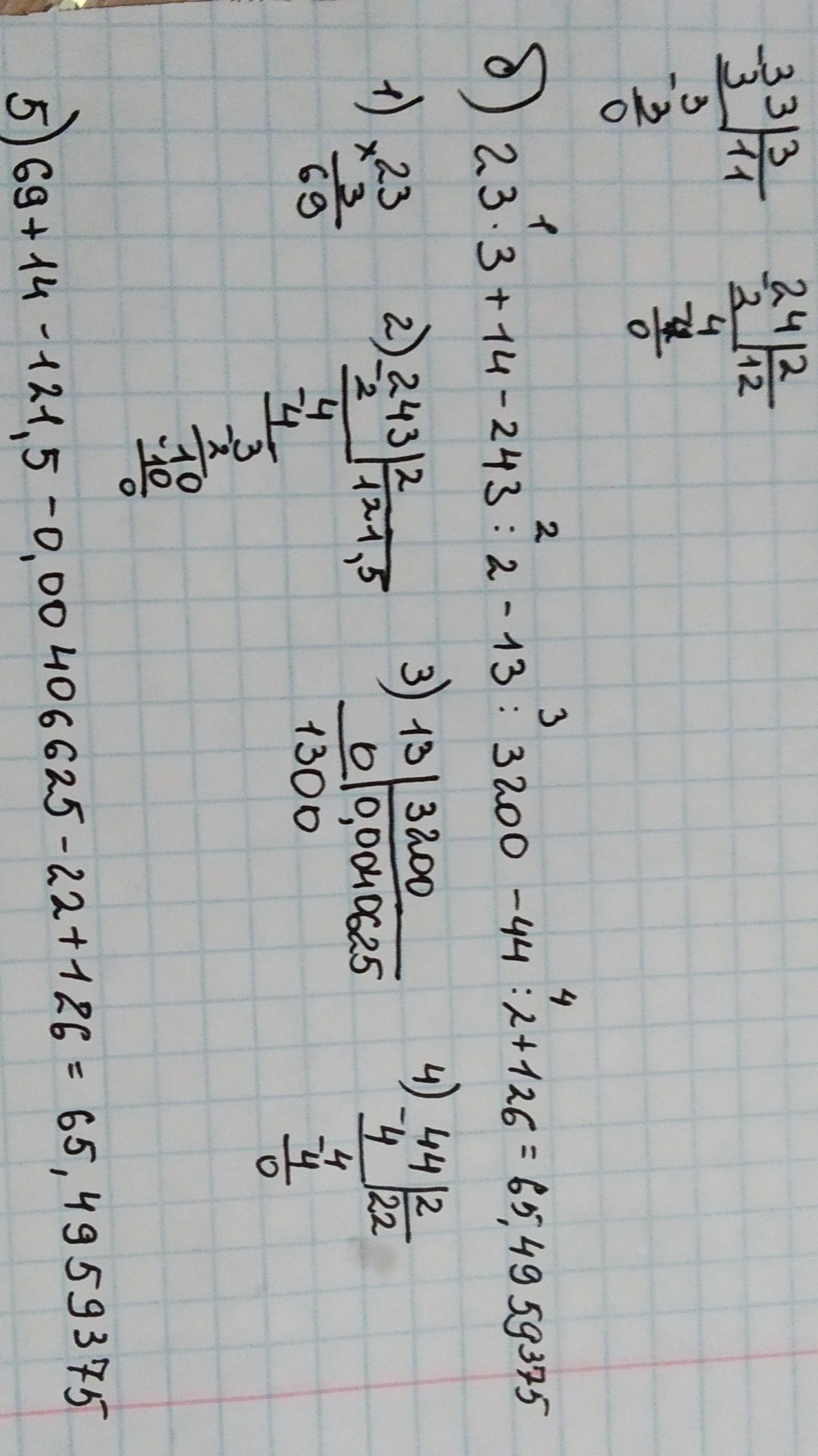
8. Найди значения выражений, записывая действия столбиком.
а) 41: 2
23. 3
34 : 2
42. 2
12, 3
22. 4
33. 3
24 : 2
б) 23 • 3+14 - 2 43 : 2 – 13 : 3 200 — 44 : 2 + 126
сделаю лучший ответ
Приложения:

Ответы
Ответ дал:
8
вот было очень легко( хоть математику вспомнила)
Приложения:


Аноним:
привет
Вас заинтересует
2 года назад
2 года назад
2 года назад
8 лет назад
8 лет назад