• Предмет: Алгебра
  • Автор: illyuhen1000
  • Вопрос задан 3 года назад

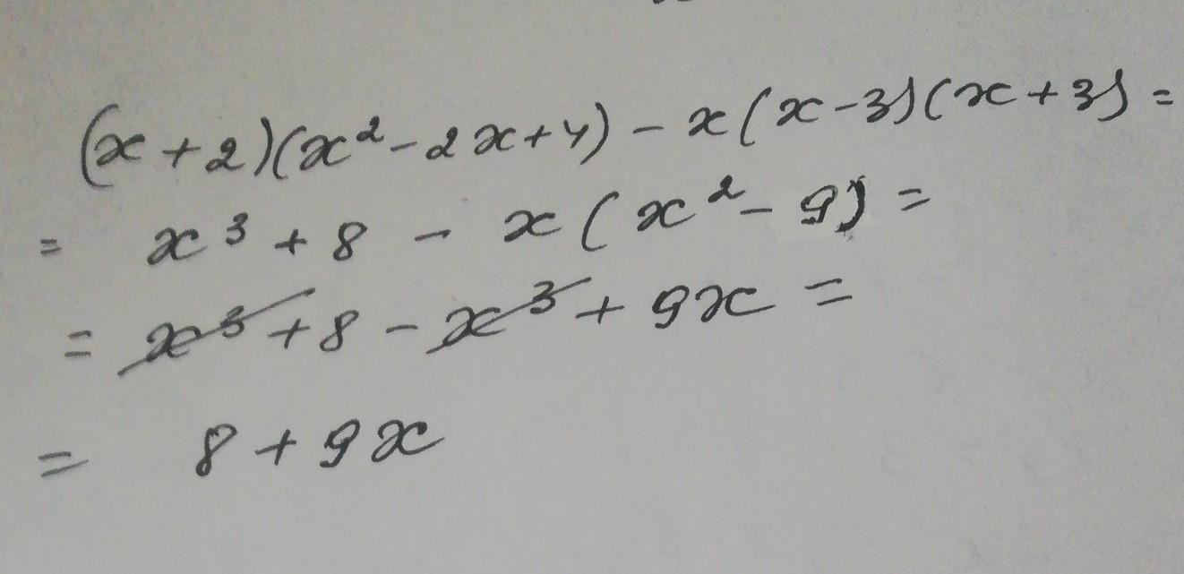
Спростіть вираз
(х+2)(х² - 2x +4) — х(х-3)(х+3)​

Ответы

Ответ дал: serovaksusa1
2

Ответ:

Смотри решение на фото

Приложения:

serovaksusa1: Если что непонятно, пишите, отвечу
Вас заинтересует