• Предмет: Алгебра
  • Автор: irynasokolova
  • Вопрос задан 3 года назад

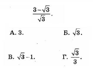
сократить дробь
3-√3\√3

Приложения:

Ответы

Ответ дал: 1709200213179
4

Відповідь:

Відповідь В

Пояснення:

((3-\sqrt{3})\sqrt{3})/\sqrt{3}\sqrt{3}=\frac{3\sqrt{3} -3}{3}=\frac{3(\sqrt{3}-1 }{3}=\sqrt{3}-1

Вас заинтересует