• Предмет: Алгебра
  • Автор: annaivancina466
  • Вопрос задан 3 года назад

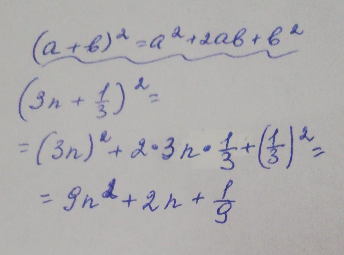
преобразуйте выражение в многочлен:
(3n+1/3)^2​

Ответы

Ответ дал: serovaksusa1
1

Ответ:

Смотри решение на фото

Приложения:
Вас заинтересует