• Предмет: Алгебра
  • Автор: Viyator
  • Вопрос задан 11 лет назад

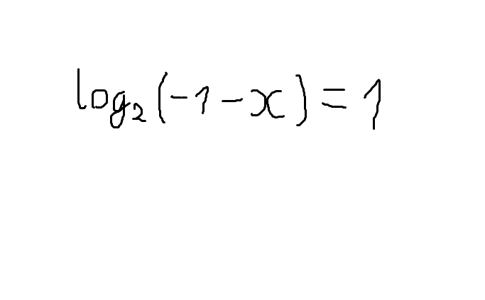
Найдите корень уравнения :

Приложения:

Ответы

Ответ дал: Матов
0
Это эквивалентно такому уравнению   
-1-x=2
-x=3
x=-3

Ответ дал: uekmyfhfp
0
-1-x=2^1; -1-x=2 -x=2+1 x=-3
Вас заинтересует