• Предмет: Физика
  • Автор: FunnyKiki
  • Вопрос задан 3 года назад

Помогите пж
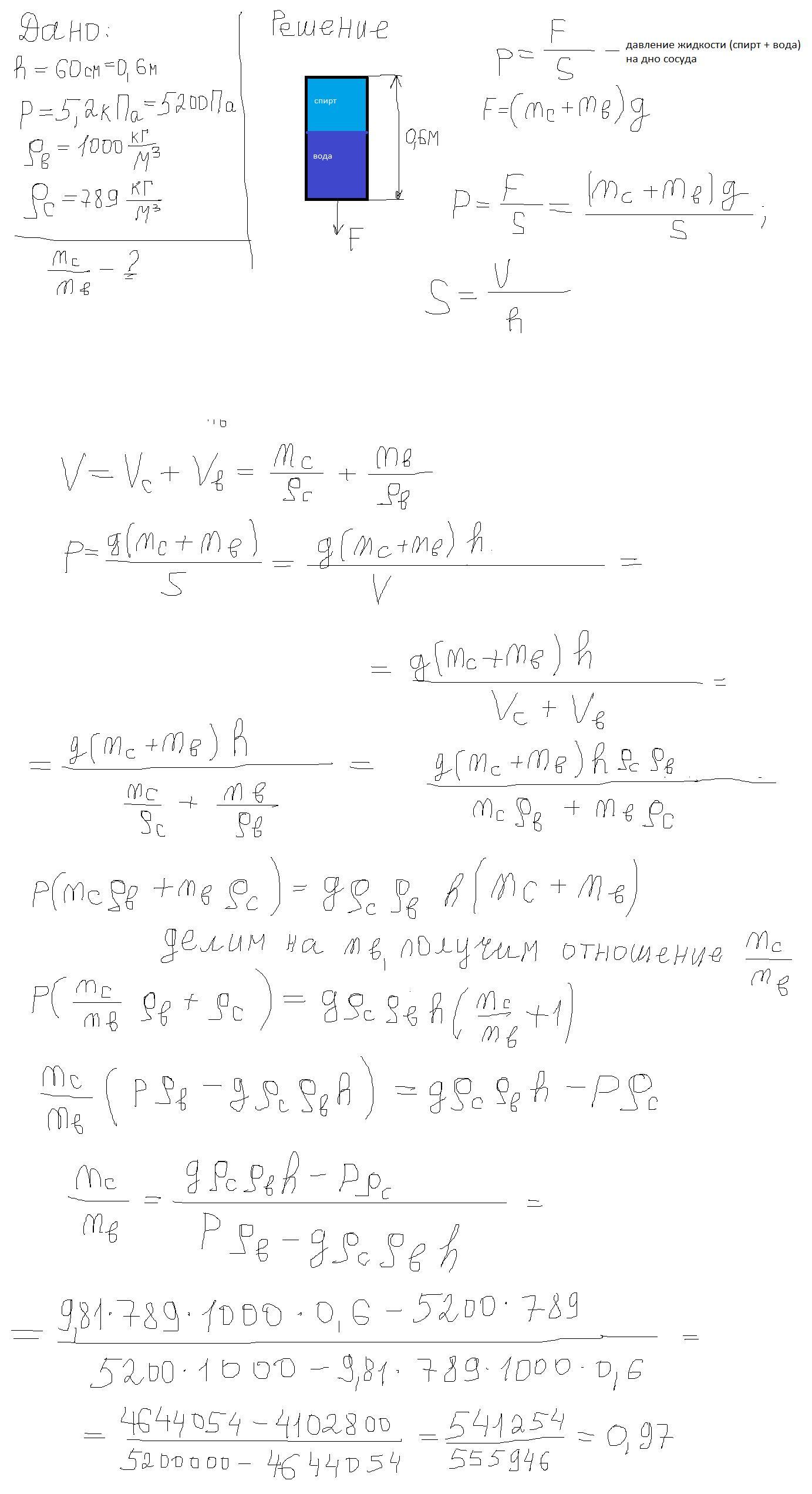
В сосуд высотой 60 см до краев, не смешивая, налили спирт и воду. Давление на дно сосуда 5,2 кПа. Найдите отношение масс спирта и воды в сосуде.

Ответы

Ответ дал: ssroman72
4

Ответ:

решение на картинке смотреть

Объяснение:

Приложения:
Вас заинтересует