• Предмет: Математика
  • Автор: yyy72
  • Вопрос задан 3 года назад

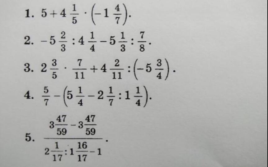
ПОМОГИТЕ СРОЧНО!!! Дам 100-1000 балов ! РЕШИТЕ С ПРДРОБНО А НЕ ОТВЕТ!!!!!

Приложения:

Аноним: ты дала только 5 баллов
Аноним: поэтому я не отвечу

Ответы

Ответ дал: cifriangela7
1

Ответ:

За 5баллов решать двухэтажные дроби? Серьёзно?


Аноним: вот именно
Аноним: а я о чём
Вас заинтересует