• Предмет: Алгебра
  • Автор: Танькаа
  • Вопрос задан 10 лет назад

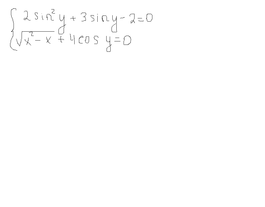
ребятки, помогите решить систему неравенств из тригонометричесих уравнений

Приложения:

Ответы

Ответ дал: Maksim2009rus
0
Решение во вложениях. Удачи.
Приложения:
Вас заинтересует