• Предмет: Алгебра
  • Автор: dvdlvlv95
  • Вопрос задан 3 года назад

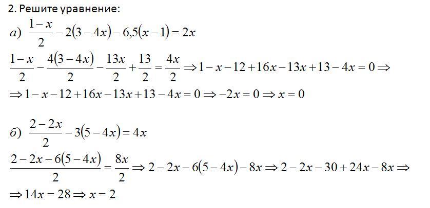
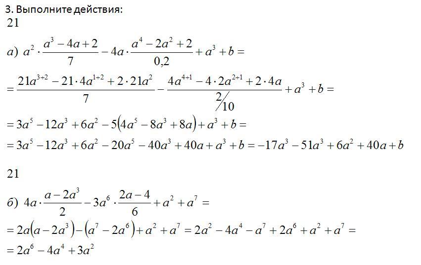
99 баллов, решить карточку, умножение одночленов на многочлен
Решите с с обьяснением пожалуйста

Приложения:

Ответы

Ответ дал: mioks
1

Ответ:

на фото

Объяснение:

Приложения:
Вас заинтересует