• Предмет: Алгебра
  • Автор: sjjsjsj26
  • Вопрос задан 3 года назад

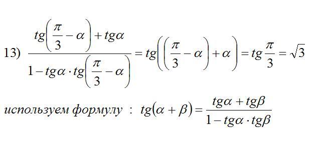
ПОМОГИТЕ ПОЖАЛУЙСТА УМОЛЯЮ ООЧЕНЬ СРОЧНО РЕШИТЬ ЗАДАЧИ ПО ТРИГОНОМЕНТРИИ: УПРОСТИТЕ ФОРМУЛА СЛОЖЕНИЯ.


Приложения:

Ответы

Ответ дал: mioks
1

Ответ:

корень(3)

Объяснение:

на фото

Приложения:
Вас заинтересует